返回首页
教学动态
学生天地
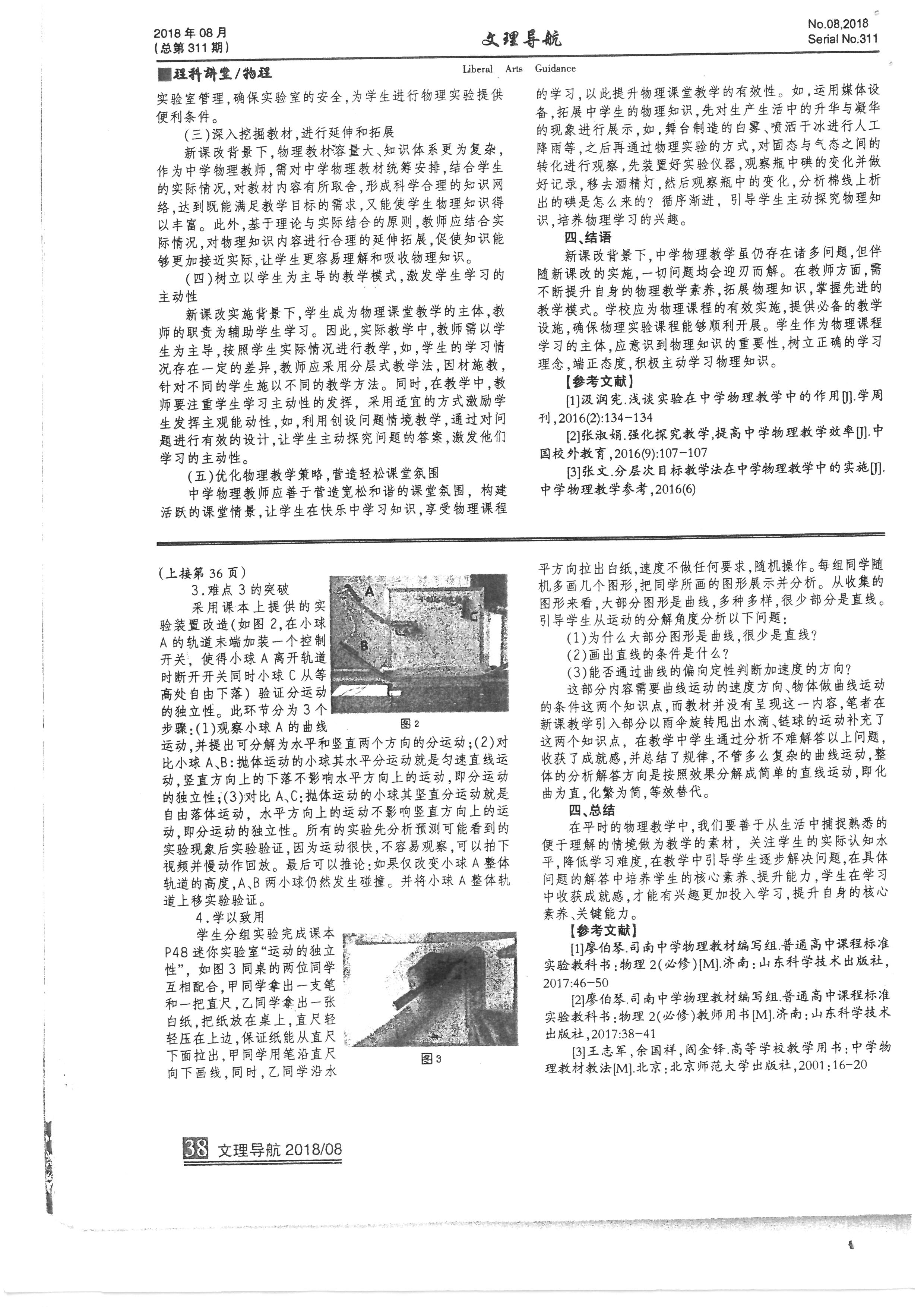
数字管理
教研动态
教学论文
语言文字工作
教育督导
优化设计突破难点 提升学科核心素养 洪勇辉
浏览次数 187 日期:2019-01-03 16:15:36
上一篇:
以“辅助角公式”教学为例浅谈二次备课 范惠珍 201805
下一篇:
浅谈学科素养立意下的高效课堂构建 胡玲玲 201812